Σε 11.629 ανέρχονται τα νέα κρούσματα κορωνοϊού για σήμερα με την Αττική να συνεχίζει να αποτελεί το επίκεντρο της επιδημίας στη χώρα.
Πιο συγκεκριμένα, σύμφωνα με την ανακοίνωση του ΕΟΔΥ, στην Αττική καταγράφηκαν ακόμη 6.664 νέα κρούσματα ενώ ακολουθεί η Θεσσαλονίκη με 925 νέες μολύνσεις.
- Διαβάστε επίσης: Κορωνοϊός: Δυο μήνες πρόβλεψη για τις νέες μεταλλάξεις
Κορωνοϊός: Ποιες περιοχές είναι στο κόκκινο
Ανεβασμένα είναι τα κρούσματα και στην Κρήτη, η οποία μάλιστα ξεπερνά την συμπρωτεύουσα, καθώς οι μολύνσεις που καταγράφηκαν ήταν 1.177.
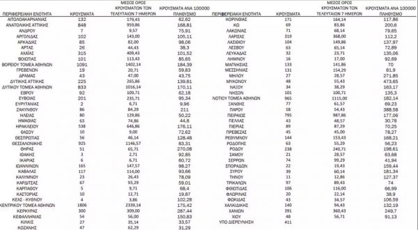
Αναλυτικά ο πίνακας με τη γεωγραφική κατανομή των νέων κρουσμάτων.









































