Την επιδημιολογική έκθεση για την εβδομάδα 26 έως 31 Ιουλίου γνωστοποίησε σήμερα ο Εθνικός Οργανισμός Δημόσιας Υγείας (ΕΟΔΥ). Ειδικότερα, ανακοίνωσε σε εβδομαδιαία βάση συνολικά 122.230 νέα κρούσματα, 355 θανάτους και 138 διασωληνωμένους.
Την εβδομάδα αναφοράς καταγράφηκαν 122.230 κρούσματα COVID-19 (11.716 ανά εκατoμμύριο πληθυσμού: -11% εβδομαδιαία μεταβολή) εκ των οποίων οι επαναλοιμώξεις αφορούν το 20% των λοιμώξεων.
Διαβάστε επίσης: Κορωνοϊός: Αναμένεται αύξηση κρουσμάτων το φθινόπωρο – Πότε έρχονται τα νέα εμβόλια
Ο συνολικός αριθμός των λοιμώξεων από την έναρξη της πανδημίας ανέρχεται σε 4.474.616 εκ των οποίων 51.8% γυναίκες

H εικόνα στα νοσοκομεία
Το σύνολο των εισαγωγών, στα νοσοκομεία της επικράτειας, την εβδομάδα αναφοράς ήταν 2.558 ασθενείς (7μερος μ.ό.: 365, -9% εβδομαδιαία μεταβολή), ενώ το σύνολο των εξιτηρίων ανέρχεται σε 2.219 ασθενείς (7μερος μ.ο.: 317, 2% εβδομαδιαία μεταβολή).
Ο αριθμός των ασθενών που νοσηλεύονται διασωληνωμένοι μέχρι τέλος της εβδομάδας αναφοράς είναι 138 (65.2% άνδρες) με διάμεση ηλικία 69 έτη και το 92.8% να έχει υποκείμενο νόσημα ή/και ηλικία 70 ετών και άνω.
Την εβδομάδα αναφοράς καταγράφηκαν 355 θάνατοι ασθενών COVID-19 (34 ανά εκατομμύριο πληθυσμού: 21% εβδομαδιαία μεταβολή), ενώ από την έναρξη της επιδημίας έχουν καταγραφεί συνολικά 31.377 θάνατοι, με το 95.8% είχε υποκείμενο νόσημα ή/και ηλικία 70 ετών και άνω.
Διαβάστε επίσης: Long Covid: Τεράστιες οι οικονομικές επιπτώσεις για τη βρετανική αγορά από την Long Covid

Τα κρούσματα
Η διάμεση ηλικία των κρουσμάτων είναι 38 έτη, ενώ η διάμεση ηλικία των θανόντων είναι 80 έτη.
Την εβδομάδα αναφοράς, το ποσοστό θετικότητας ήταν 15,22% σε σύνολο 802.999 εργαστηριακών ελέγχων (RT-PCR/Rapid-Ag) με το μέσο όρο επταημέρου να είναι 114.714 δείγματα (-9% εβδομαδιαία μεταβολή).
Από την 1η Ιανουαρίου 2020 μέχρι 31 Ιουλίου 2022 , στα εργαστήρια που διενεργούν ελέγχους για τον SARS-CoV-2 και που δηλώνουν συστηματικά το σύνολο των δειγμάτων που ελέγχουν, έχουν συνολικά ελεγχθεί 12.066.294 (7μερος μ.ό.: 12.218, -9% εβδομαδιαία μεταβολή) κλινικά δείγματα ενώ από Μονάδες Υγείας και Κλιμάκια του ΕΟΔΥ που διενεργούν ελέγχους Rapid Ag έχουν ελεγχθεί 77.254.250 δείγματα (7μερος μ.ό.: 102.497, -9% εβδομαδιαία μεταβολή).
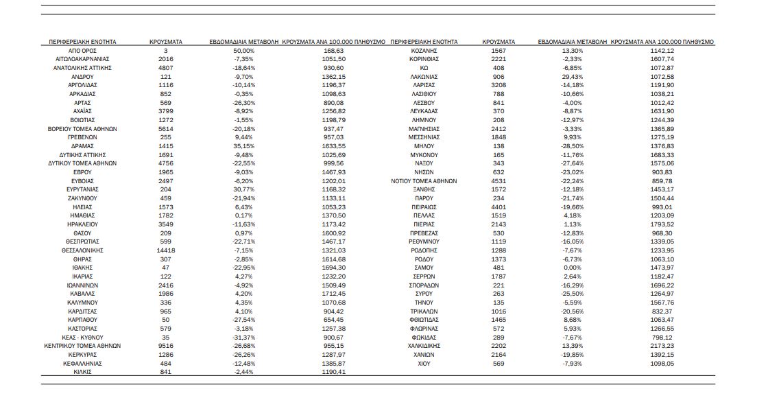
Γεωγραφική διασπορά
Ο χάρτης αποτυπώνει τη γεωγραφική κατανομή των κρουσμάτων COVID-19 των τελευταίων 14 ημερών ανά Περιφερειακή Ενότητα της χώρας, με βάση την δηλωθείσα διεύθυνση μόνιμης κατοικίας του ασθενούς, ή τη διεύθυνση προσωρινής διαμονής για τους τουρίστες και άλλους προσωρινά διαμένοντες στην Ελλάδα.
Συμπεριλαμβάνονται τόσο κρούσματα με ιστορικό ταξιδίου (“εισαγόμενα”) όσο και κρούσματα με πιθανή εγχώρια μετάδοση.

Στο Πίνακα παρουσιάζεται τo σύνολο των κρουσμάτων, η επίπτωση ανά 100.000 πληθυσμού καθώς και η εβδομαδιαία μεταβολή των επιβεβαιωμένων κρουσμάτων COVID-19
ανά περιφερειακή ενότητα την εβδομάδα αναφοράς σε σύγκριση με την προηγούμενη εβδομάδα.

Πηγή: in.gr




















![Παπασταύρου: Επενδύσεις 2,5 δισ. για λειψυδρία – Οι 7 άξονες [Δείτε Live]](https://www.ot.gr/wp-content/uploads/2025/10/DSC_2826-scaled.jpg)



















